Mời các bạn hãy cùng với kienthucviet tìm hiểu về khái niệm đường Elip, công thức Elip kèm bài tập để thực hành ngay nhé.
Định nghĩa đường Elip
Cho 2 điểm F1 và F2 luôn cố định, với F1 F2 = 2c (c>0) và hằng số a> c, ta sẽ có
- tập hợp các điểm M thỏa mãn với MF1+MF2 = 2a
- MF1, MF2 được gọi là bán kính qua tiêu
- Khoảng cách F1 F2 = 2c là tiêu cự của (E)
- Các điểm F1, F2 là tiêu điểm của (E)
Phương trình chính tắc elip

Hình dạng và tính chất của elip

Bài tập về Phương trình đường Elip (phần 1)
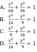
Câu 1: Phương trình chính tắc của elip có độ dài trục nhỏ bằng 6, độ dài trục lơn bằng 8 , hãy chọn đáp án đúng:

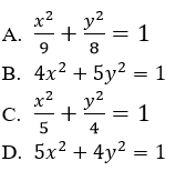
Câu 2: Phương trình của elip có 1 tiêu điểm F2(1;0) và đi qua điểm M(2; -2/√5) là:

Câu 3: Cho elip có phương trình 4×2+9y2=36, khi đó hình chữ nhật cơ sở có diện tích bằng:
A – 6 B – 12 C – 24 D – 36
Câu 4: Cho elip (E) có phương trình

Đường thẳng nào sau đây cắt (E) tại hai điểm đối xứng nhau qua trục Oy?
A) y = 2x B) y = 3 C) x = 3 D) y = 10
Câu 5: Cho elip (E) có phương trình

với hai tiêu điểm là F1,F2 , với điểm M bất kì trên (E) thì chu vi tam giác MF1F1 là:
A) 50 B) 36
C) 34 D) Thay đổi phụ thuộc vào vị trí M
Câu 6: Cho elip (E) có phương trình

và (H) là hình vuông có các cạnh đều tiếp xúc với (E) , khi đó diện tích của (H) là:
A) 194 B) 260 C) 388 D) 288
Hướng dẫn giải và Đáp án

Hy vọng qua bài viết trên đây các bạn đã nắm được những kiến thức về công thức elip, thấy bài viết hữu ích thì hãy share để động viên tinh thần chúng tôi nhé.
==>> Xem thêm Chia sẻ công thức lim cùng bài tập thực hành (đáp án)

